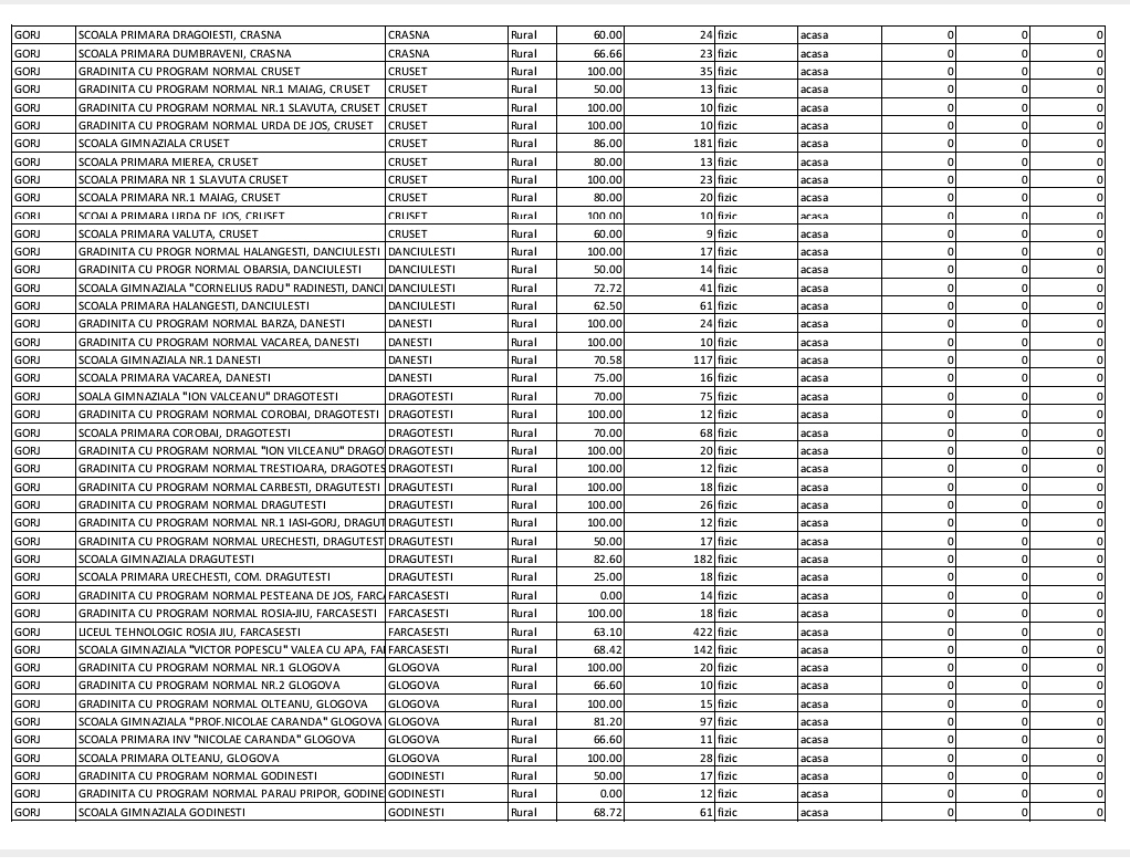
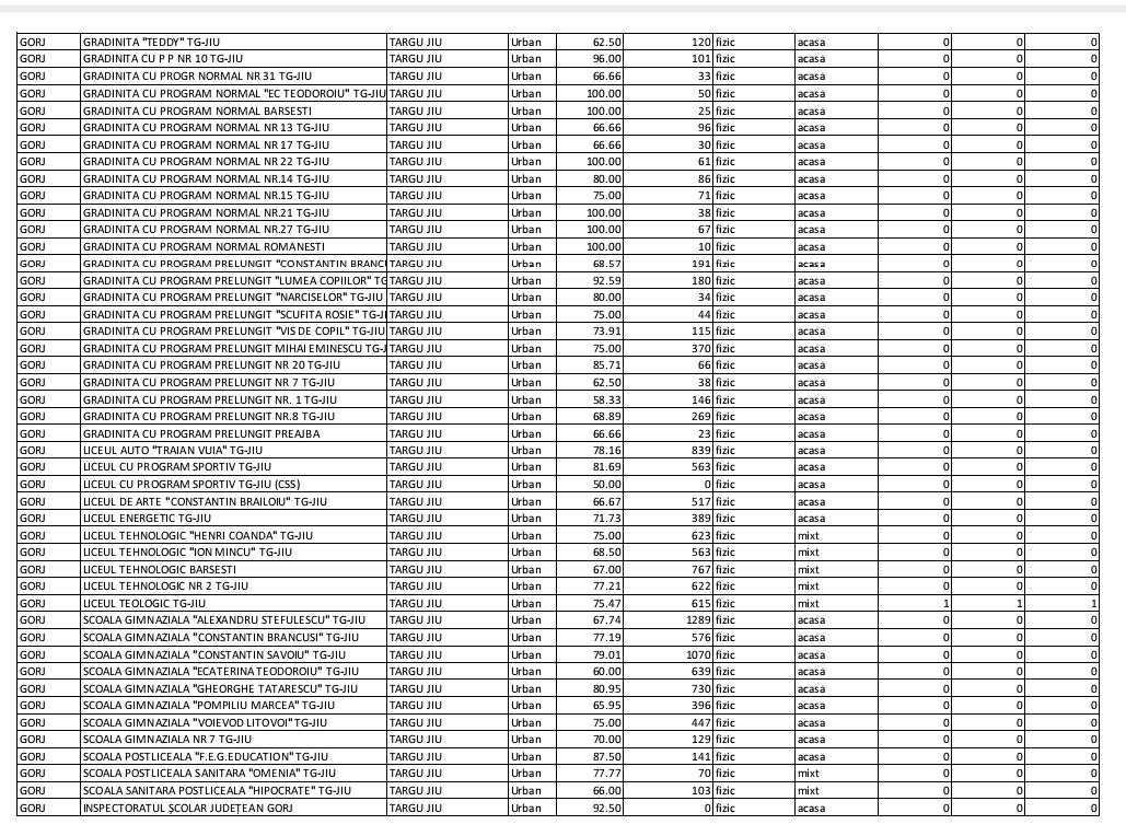
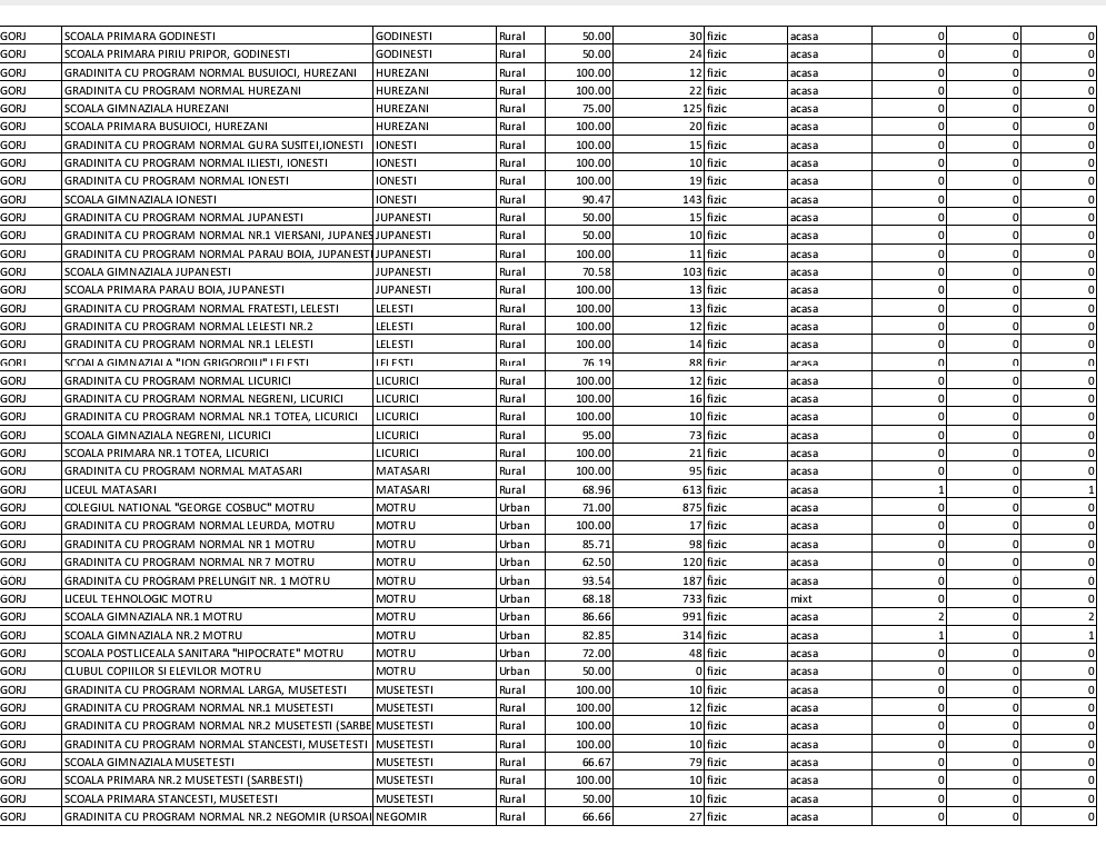
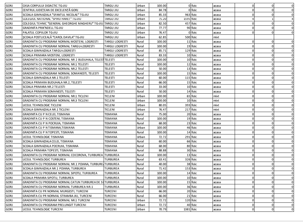
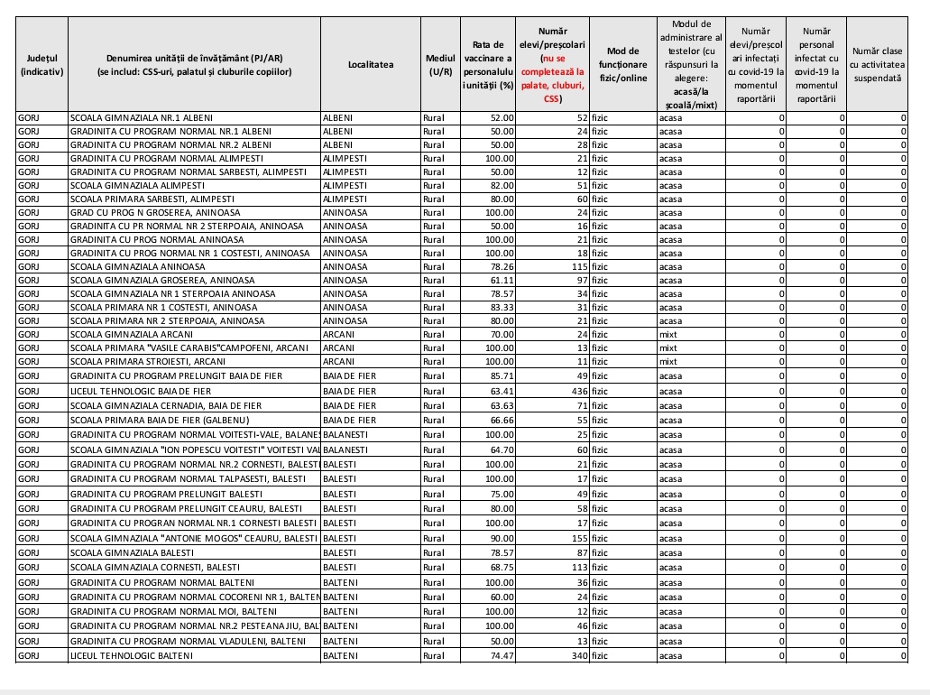
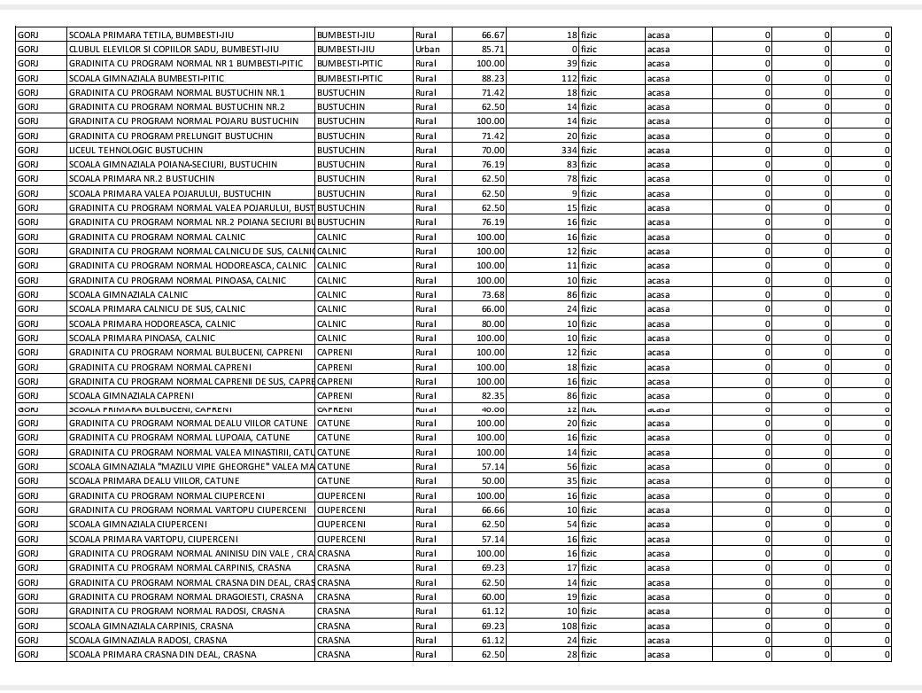
LISTĂ. Situația epidemiologică și procentul de vaccinare din fiecare unitate de învățământ din județ

1025

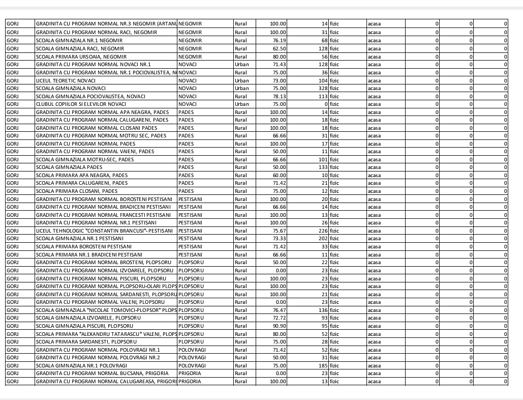
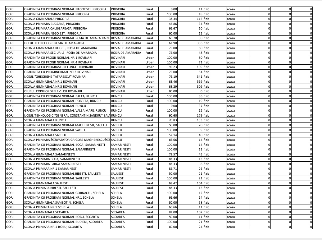
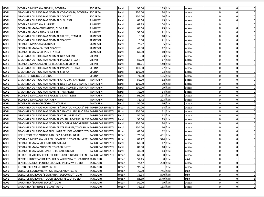
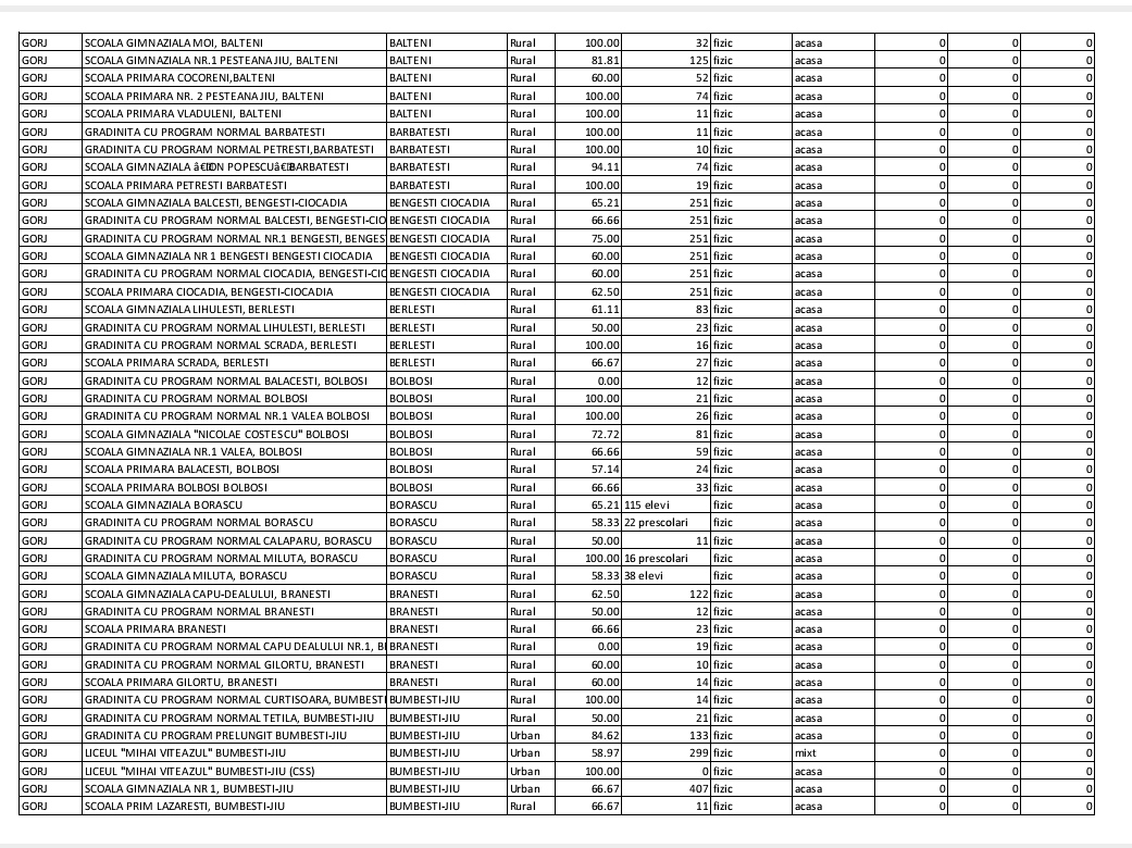
Inspectoratul Școlar Județean Gorj a publicat situația epidemiologică și procentul de vaccinare din unitățile de învățământ din județ.

LĂSAȚI UN MESAJ

Vă rugăm să introduceți comentariul dvs.!
Introduceți aici numele dvs.