21.2 C
Târgu Jiu
miercuri, mai 20, 2026

Multe note de ZERO la un concurs pentru un post la stat

2748

Note catastrofale la un concurs organizat de Direcția Generală pentru Asistență Socială și Protecția Copilului Gorj. Peste șaizeci de candidați s-au arătat interesați de posturile de educatori, cu studii medii, însă doar patru au reușit să ia note de trecere, la limită. Erau vacante cinci posturi în apartamentele de tip familial și în centrele de plasament pentru copii.

Nu mai puțin de 14 candidați și-au depus dosarele pentru cele două posturi de educator vacante la Complexul de servicii comunitare pentru copilul în dificultate Târgu-Jiu – Apartamentul de tip familial destinat protecției rezidențiale a copiilor „Tineretul” Rovinari.
Cinci candidați au absentat de la concurs, iar alți cinci au înmânat foile de examen la fel cum le-au primit, fiind notați cu… ZERO!
Cel mai mare punctaj a fost 51, candidatul promovând proba la limită, punctajul minim fiind de 50 de puncte. S-au mai înregistrat două punctaje de 30 și unul de 23 de puncte.

24 de înscriși și un singur promovat
În schimb, pentru postul de la Centrul de plasament destinat protecției rezidențiale a copiilor cu dizabilități din Târgu-Jiu, interesul a fost mult mai mare. S-au înscris 24 de candidați, dar zece nu s-au mai prezentat la concursul organizat la mijlocul lunii.
O candidată a fost eliminată din concurs, pentru că a încercat să fraudeze examenul. Alți cinci candidați au dat foile goale, fiind declarat un singur admis, cu 67 de puncte din 100.

Admiși la limită
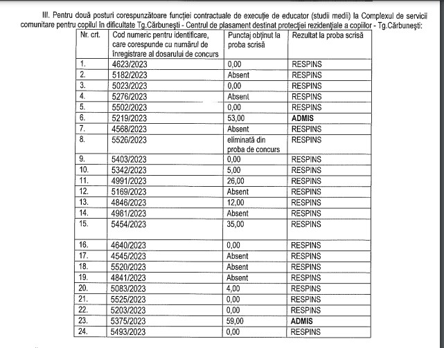
Tot 24 de dosare au fost depuse și pentru cele două posturi de educator de la Centrul de plasament destinat protecției rezidențiale a copiilor Târgu-Cărbunești. Și aici s-au înregistrat opt absenți, iar o candidată a fost eliminată din examen. Nici nu e de mirare că a încercat să copieze, de vreme ce s-au înregistrat opt note de zero. Doi candidați au trecut de proba scrisă, fiind notați cu 53 și, respectiv, 59 de puncte.
Tematica de concurs, bibliografia, a făcut referire la niște legi stufoase privind asistența socială, protecția și promovarea drepturilor copiilor.
Cei patru candidați admiși pe cele cinci posturi vacante susțin astăzi proba de interviu, la sediul DGASPC Gorj. Rămâne de văzut dacă și aici vor fi surprize.
I.I.

2 COMENTARII

  1. Notele foarte scăzute obținute de majoritatea candidaților indică faptul că sistemul de pregătire și recrutare a acestor profesioniști trebuie reevaluat și îmbunătățit, iar frauda în concursurile de acest tip nu ar trebui tolerată și trebuie luate măsuri pentru a preveni astfel de situații în viitor.

LĂSAȚI UN MESAJ

Vă rugăm să introduceți comentariul dvs.!
Introduceți aici numele dvs.