13.5 C
Târgu Jiu
sâmbătă, mai 16, 2026

Plan de intervenție în școlile cu o medie sub 7 la simulare

2937

Școlile cu o medie a rezultatelor sub 7 la simularea Evaluării Naționale 2024 vor avea un plan dedicat de intervenție. Potrivit ministrului Educației, Ligia Deca, „planul de intervenție” va fi monitorizat prin procesul de inspecţie.
„Cred că, pentru orice fel de progres, avem nevoie să știm cum stăm. Pentru prima dată, am putut să avem rezultatele până la nivelul fiecărui item de evaluare. Acum ştim care sunt zonele, în fiecare şcoală, pentru fiecare copil, care au nevoie de o intervenţie remedială. Avem timp să facem intervenţii până la Evaluarea Naţională şi avem timp să evaluăm care sunt zonele care, prin procesul de predare-învăţare, nu sunt suficient de bine înţelese de către elevi. Cred că este un prim pas pentru ca tot ceea ce înseamnă competenţele matematice ale elevilor să fie îmbunătăţite”, a spus Deca, pentru Euronews România.
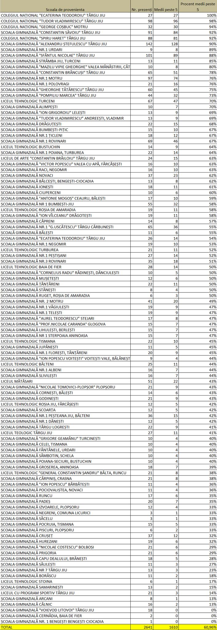
Aproape 61% dintre elevii din Gorj care au susținut simularea Evaluării Naționale au obținut medii peste 5. Singura unitate de îmvățământ cu promovabilitate 100% este Colegiul Național „Ecaterina Teodoroiu” din Târgu Jiu.
I.I.

3 COMENTARII

  1. Unde sunt unu sau doi candidati elevii au fost sfatuiti de profesori sa nu se prezinte pentru a nu diminua rezultatele scolii.De ce nu se arata si cati elevi trebuia sa participe.Este o tactica mai veche ,o cunoaste si inspectoratul scolar.

  2. Unde sunt unu sau doi candidati elevii au fost sfatuiti de profesori sa nu se prezinte pentru a nu diminua rezultatele scolii.Dde ce nu se arata si cati elevi trebuia sa participe.Este o tactica mai veche ,o cunoaste si inspectoratul scolar.

  3. BANI CAT MAI MULTI PENTRU PROFESORI,MUNCA LA CLASA APROAPE DELOC,MEDITATII CAT MAI MULTE SA IASA BANI CA REZULTATELE NU CONTEAZA.ACESTA ESTE INVATAMANTUL DIN GORJ.

LĂSAȚI UN MESAJ

Vă rugăm să introduceți comentariul dvs.!
Introduceți aici numele dvs.