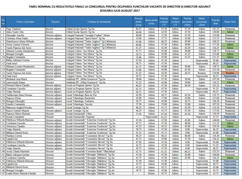
Cei șase candidați care au formulat contestație, după ce au participat la concursul pentru ocuparea posturilor vacante de director şi director adjunct din unităţile din învăţământul preuniversitar, nu au primit vestea pe care o așteptau. ”Nu s-a schimbat situația inițială, în urma contestațiilor”, a declarat Georgeta Popescu, purtătorul de cuvânt al Inspectoratului Școlar Județean Gorj. În total, 61 de persoane s-au înscris în competiţie, fiind declarat “promovat” candidatul “admis” care a obţinut cel mai mare punctaj total. Acestea au formulat 86 de opțiuni, la mai multe școli, fiind vacante 32 de posturi de
director și 20 de director adjunct. ”Conform metodologiei, suntem obligați, cel târziu pe 2 august, să facem publice rezultatele finale validate ale concursului”, a mai declarat Georgeta Popescu, purtătorul de cuvânt al ISJ Gorj. Cei șase candidați care au formulat contestație, după ce au participat la concursul pentru ocuparea posturilor vacante de director şi director adjunct din unităţile din învăţământul preuniversitar, nu au primit vestea pe care o așteptau. ”Nu s-a schimbat situația inițială, în urma contestațiilor”, a declarat Georgeta Popescu, purtătorul de cuvânt al Inspectoratului Școlar Județean Gorj. În total, 61 de persoane s-au înscris în competiţie, fiind declarat “promovat” candidatul “admis” care a obţinut cel mai mare punctaj total. Acestea au formulat 86 de opțiuni, la mai multe școli, fiind vacante 32 de posturi de director și 20 de director adjunct. ”Conform metodologiei, suntem obligați, cel târziu pe 2 august, să facem publice rezultatele finale validate ale concursului”, a mai declarat Georgeta Popescu, purtătorul de cuvânt al ISJ Gorj.
Loredana Fîciu
































