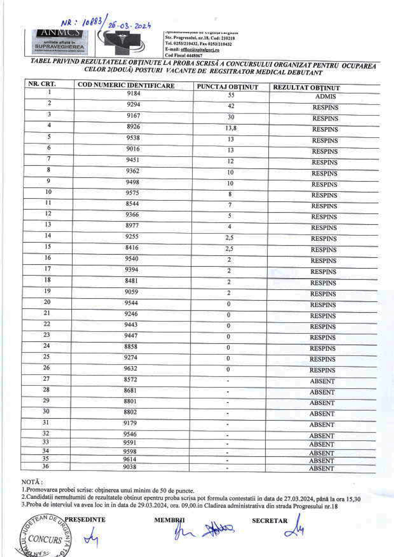
Nu mai puțin de 36 de gorjeni s-au înscris la concursul organizat de Spitalul Județean de Urgență din Târgu Jiu pentru ocuparea a două posturi de registrator medical la Biroul Internări. Doar un singur candidat a reușit să promoveze, la limită, proba scrisă, restul picând cu note extrem de mici.
Șapte participanți „s-au remarcat” prin faptul că au obținut zero puncte, în vreme ce zece candidați au preferat să nu se mai prezinte la examen. Singurul admis a obținut 55 de puncte, pragul minim de promovare fiind 50 de puncte. Următorii clasați au fost notați cu 42 și, respectiv, 30 de puncte, restul candidaților obținând între 2 și 13,8 puncte.
„Candidații nemulțumiți de rezultatele obținute pentru proba scrisă pot formula contestații în data de 27 martie, până la ora 15.30. Proba de interviu va avea loc în data de 29 martie, ora 09.00”, au anunțat reprezentanții spitalului. S-au putut înscrie la concurs absolvenții de liceu cu diplomă de bacalaureat care au putut dovedi că au urmat o specializare în domeniul informatică, respectiv că dețin certificat de operator calculator sau atestat profesional în informatică. Posturile sunt pentru debutanți.
I.I.





























